Bật chế độ truy cập dễ dàng hơn
Bỏ qua nội dung chính
Tắt chế độ truy cập dễ dàng hơn
UBND QUẬN 8
Đăng nhập
Thông tin cần biết
/thongtincanbiet/lists/posts/post.aspx
Trang chủ
SƠ ĐỒ SITE
Liên hệ
QUYẾT ĐỊNH Về phê duyệt Kế hoạch sử dụng đất năm 2025 của Quận 8
*
Giới thiệu nội dung mới tại Thông tư 31 và Thông tư 32 của Bộ Tài Chính
*
QUẬN 8 KHAI MẠC HỘI THAO QUỐC PHÒNG NĂM 2025
*
Thông tin cần biết
GIỚI THIỆU QUẬN 8
Giới thiệu chung
Điều kiện tự nhiên
Địa danh - Di tích
Sơ đồ tổ chức
Phòng ban QLNN
Bản đồ hành chính
TIN TỨC SỰ KIỆN
Thông tin về Đảng bộ
Hoạt động khối phường
Hoạt động Mặt trận - Đoàn thể
Kinh tế
Văn hóa - Xã hội
Quốc phòng - An ninh
Đô thị - Môi trường - Nhà đất
CHỈ ĐẠO ĐIỀU HÀNH
Thông tin chỉ đạo điều hành
THÔNG CÁO BÁO CHÍ
Báo cáo kết quả chỉ đạo điều hành
Công khai ngân sách
Quyết định xử phạt
THÔNG BÁO
Thông tin chung
Tuyển dụng
Nhân sự mới
QUY HOẠCH & PHÁT TRIỂN
Chiến lược - Định hướng
Kế hoạch - Hoạt động
Quy hoạch Xây dựng & Đô thị
Quy hoạch & Kế hoạch sử dụng đất
Quy hoạch Thu gom, tái chế, xử lý chất thải các khu vực có nguy cơ xảy ra ô nhiễm môi trường.
Thông tin báo cáo và cấp phép môi trường
DỰ ÁN, HẠNG MỤC
Dự án mời gọi đầu tư
Dự án đang triển khai
Dự án đã hoàn tất
Đấu thầu, mua sắm công
Đấu thầu
Mua sắm công
HỎI - ĐÁP
Đặt câu hỏi
Hỏi đáp Đất phi nông nghiệp
THÔNG TIN TUYÊN TRUYỀN
Đề cương tuyên truyền
Chế độ - Chính sách
Tìm hiểu Pháp luật
Học tập tấm gương HCM
THÔNG TIN CHUYỂN ĐỔI SỐ
Chuyển đổi số Thành phố
Chuyển đổi số Quận 8
LIÊN KẾT WEB
Trang web liên kết
Hồ Chí Minh city web
Quận 1
Quận 2
Quận 3
Quận 4
Quận 5
Quận 6
Quận 7
Quận 8
Quận 9
Quận 10
Quận 11
Quận 12
Quận Bình Tân
Quận Bình Thạnh
Quận Gò Vấp
Quận Phú Nhuận
Quận Tân Bình
Quận Tân Phú
Quận Thủ Đức
Huyện Bình Chánh
Huyện Cần Giờ
Huyện Củ Chi
Huyện Hóc Môn
Huyện Nhà Bè
SỐ LƯỢT TRUY CẬP
5
7
3
6
2
2
2
7
Thông tin cần biết
15 Tháng Mười 2024 10:35:00 SA
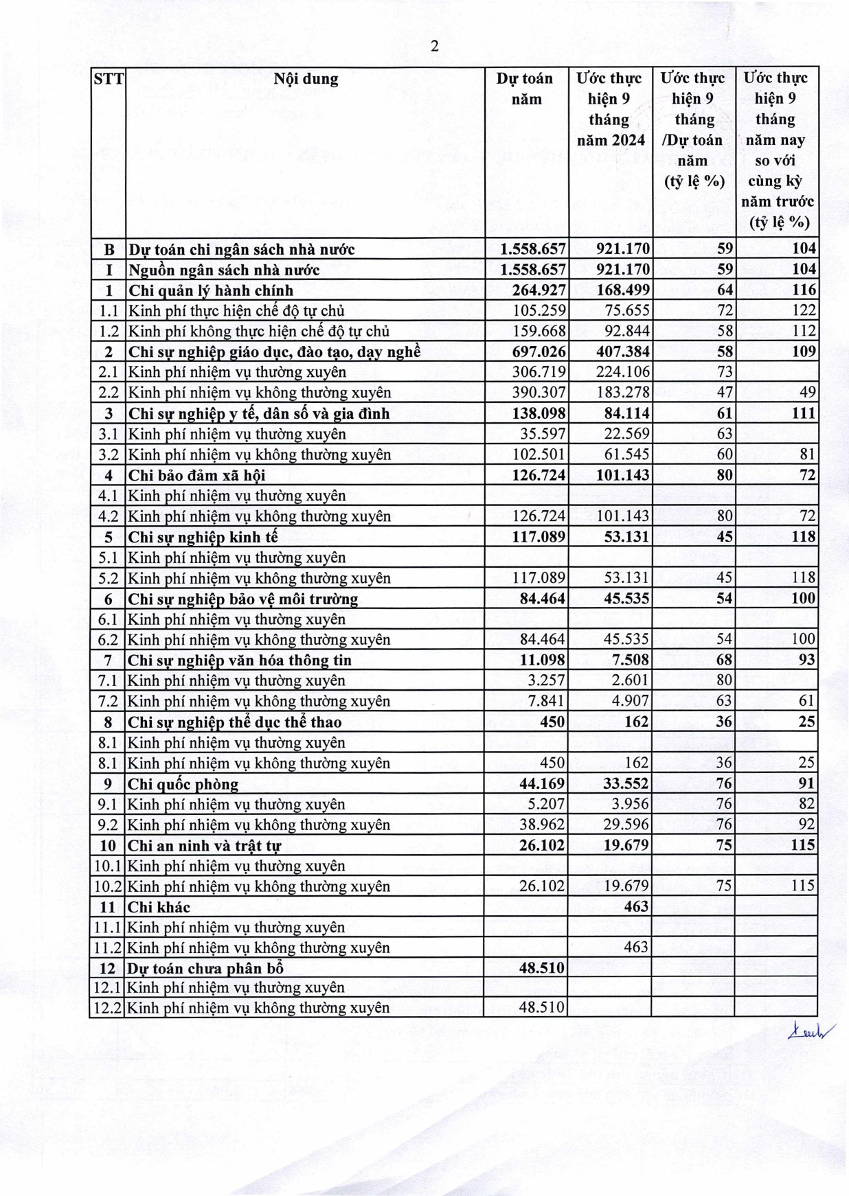
Công khai số liệu thực hiện dự toán thu - chi ngân sách 9 tháng năm 2024
Công khai số liệu thực hiện dự toán thu - chi ngân sách 9 tháng năm 2024
Số lượt người xem: 417
TIN MỚI HƠN
THÔNG BÁO Công khai thông tin chỉ đạo, điều hành của chính quyền Quận 8 liên quan đến doanh nghiệp năm 2024 (Số liệu từ ngày 01/01/2024 đến 31/12/2024)
(10/01/2025)
QUYẾT ĐỊNH Về việc công bố công khai số liệu dự toán ngân sách bổ sung năm 2024
(27/12/2024)
THÔNG BÁO Kết quả xét tuyển viên chức Ban Quản lý dự án đầu tư xây dựng khu vực Quận 8 năm 2024
(19/12/2024)
QUYẾT ĐỊNH Về việc công bố công khai số liệu dự toán ngân sách bổ sung năm 2024
(12/12/2024)
Quyết Định buộc thực hiện biện pháp khắc phục hậu quả ông ( bà ) Đỗ Văn Huấn
(15/11/2024)
THÔNG BÁO Về việc tuyển dụng viên chức Ban Quản lý dự án đầu tư xây dựng khu vực Quận 8 năm 2024
(11/11/2024)
Quyết Định cưỡng chế buộc thực hiện biện pháp khắc phục hậu quả bà Nguyễn Thị Phương Uyên
(08/11/2024)
THÔNG BÁO Công khai thông tin chỉ đạo, điều hành của chính quyền Quận 8 liên quan đến doanh nghiệp trong tháng 10 năm 2024 (Số liệu từ ngày 01/10/2024 đến 31/10/2024)
(05/11/2024)
QUYẾT ĐỊNH Về việc công bố công khai số liệu dự toán ngân sách điều chỉnh, bổ sung năm 2024
(29/10/2024)
QUYẾT ĐỊNH Về việc công bố công khai số liệu dự toán ngân sách bổ sung năm 2024
(23/10/2024)
TIN ĐÃ ĐƯA
THÔNG BÁO Công khai thông tin chỉ đạo, điều hành của chính quyền Quận 8 liên quan đến doanh nghiệp trong 9 tháng đầu năm 2024 (Số liệu từ ngày 01/10/2024 đến 30/9/2024)
(05/10/2024)
QUYẾT ĐỊNH Về việc công bố công khai số liệu dự toán ngân sách bổ sung năm 2024
(23/09/2024)
QUYẾT ĐỊNH Phê duyệt kết quả tuyển dụng viên chức ngành Giáo dục và Đào tạo Quận 8 - Năm học 2024 - 2025
(27/08/2024)
Quyết định về việc công bố công khai số liệu dự toán ngân sách bổ sung năm 2024
(20/08/2024)
Tuyển chọn thực tập sinh nam đi thực tập kỹ thuật tại Nhật Bản Đợt 3/2024
(28/07/2024)
Quyết định về việc công bố công khai số liệu dự toán ngân sách bổ sung năm 2024
(16/07/2024)
THÔNG TƯ 43/2024/TT-BTC NGÀY 28 THÁNG 6 NĂM 2024 CỦA BỘ TÀI CHÍNH
(12/07/2024)
Thông báo triệu tập thí sinh đủ điều kiện tiêu chuẩn tham dự thực hành vòng 2 kỳ thi tuyển dụng viên chức
(12/07/2024)
Quyết định phê duyệt Kế hoạch tuyển dụng viên chức ngành Giáo dục và Đào tạo Quận 8 - Năm học 2024 - 2025
(10/07/2024)
Thông báo về công khai số liệu dự toán thu - chi ngân sách 6 tháng năm 2024
(04/07/2024)
Xem theo ngày
TIN MỚI NHẤT
■
QUYẾT ĐỊNH Về phê duyệt Kế hoạch sử dụng đất năm 2025 của Quận 8
(18/06)
■
Giới thiệu nội dung mới tại Thông tư 31 và Thông tư 32 của Bộ Tài Chính
(10/06)
■
QUẬN 8 KHAI MẠC HỘI THAO QUỐC PHÒNG NĂM 2025
(09/06)
■
QUẬN 8: SƠ KẾT 05 NĂM THỰC HIỆN CHƯƠNG TRÌNH TỔNG THỂ CẢI CÁCH HÀNH CHÍNH NHÀ NƯỚC GIAI ĐOẠN 2021 - 2030
(08/06)
■
QUẬN 8 TIẾP XÚC, ĐỐI THOẠI VỚI DOANH NGHIỆP TRÊN ĐỊA BÀN NĂM 2025
(05/06)
Không tiêu đề
Object reference not set to an instance of an object.
©
Bản quyền trang Web: UBND Quận 8 Thành phố Hồ Chí Minh
Địa chỉ: Số 04 đường 1011 Phạm Thế Hiển, Phường 5, Quận 8
Tel: (84-8)-54311355 Fax: (84-8)-54311388
Danh sách Này: Bài đăng
Trang web Này: Thông tin cần biết